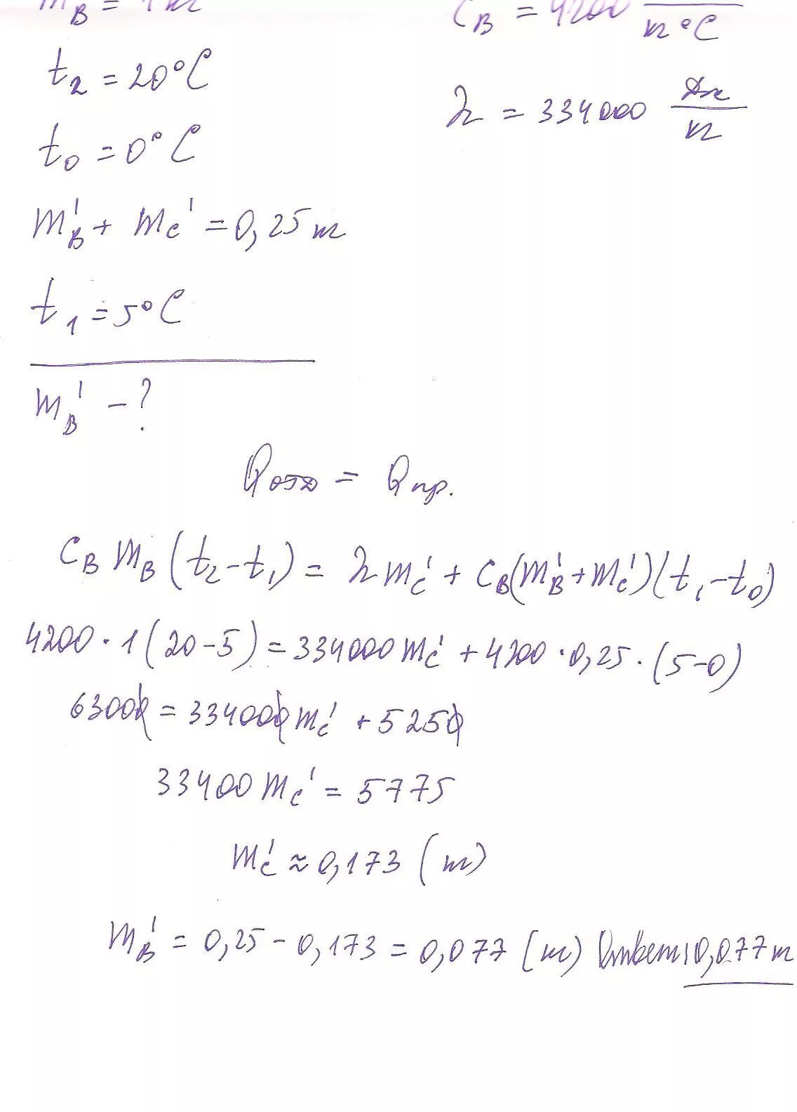
Определите массу снега который растает