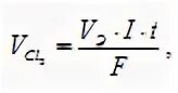
Определите массу меди выделившуюся при электролизе