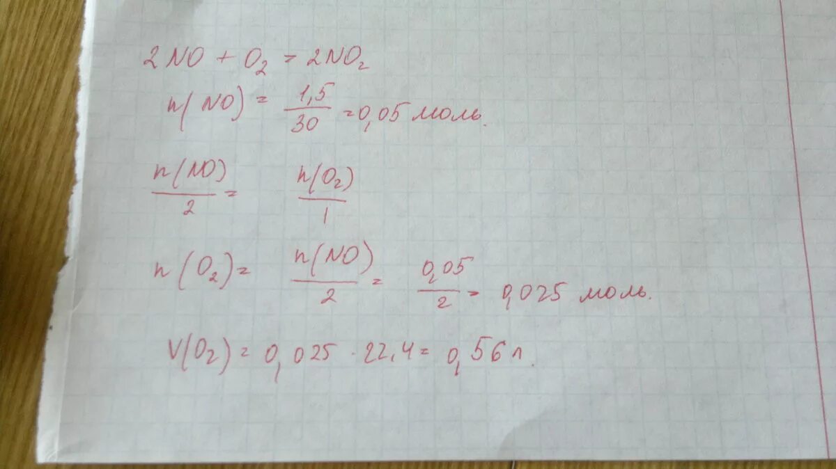
Определите массовую долю азота кислорода