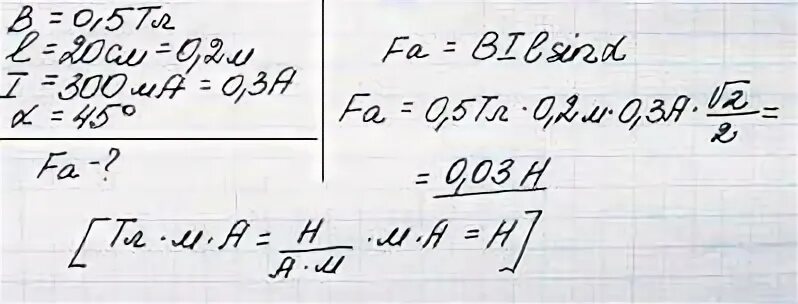
Определите длину проводника с током