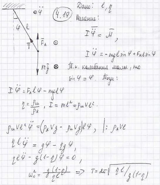
Определите длину маятника с периодом колебаний