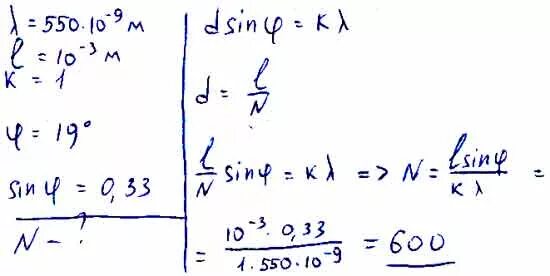
Определите число штрихов на 1 мм