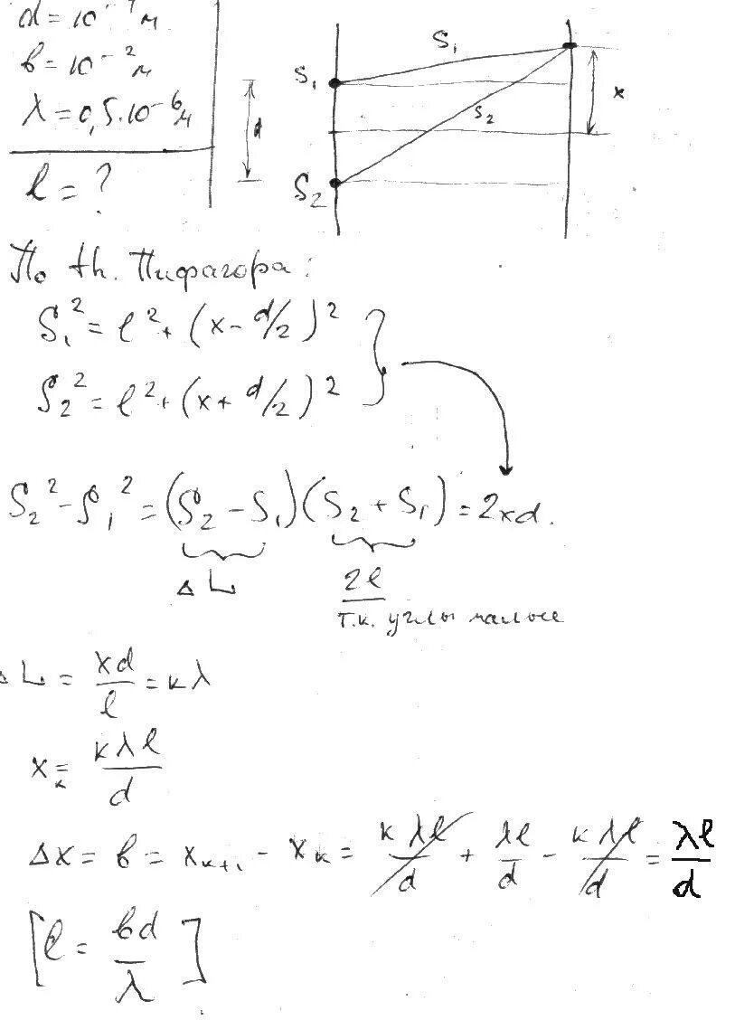
Определить расстояние между вторым и пятым