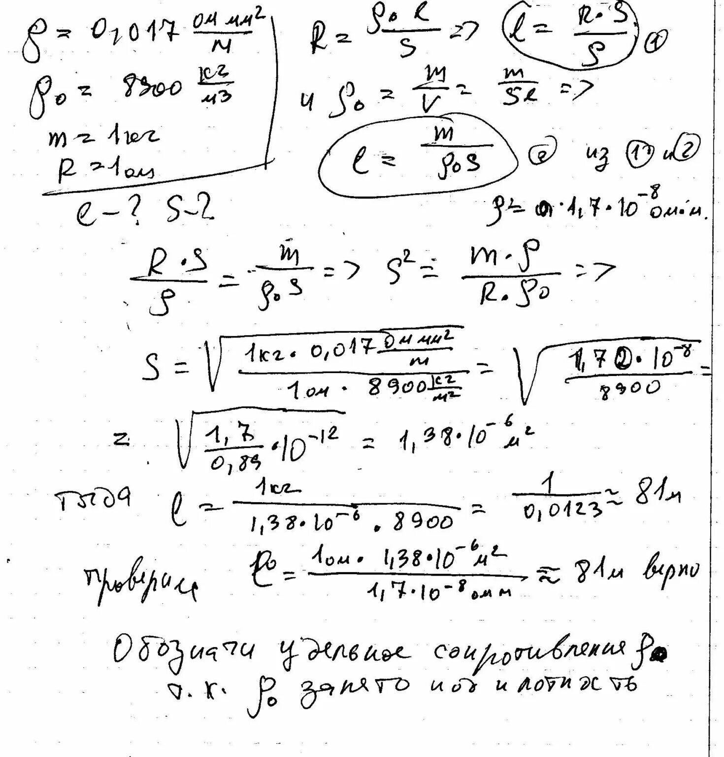
Определить площадь сечения стального проводника