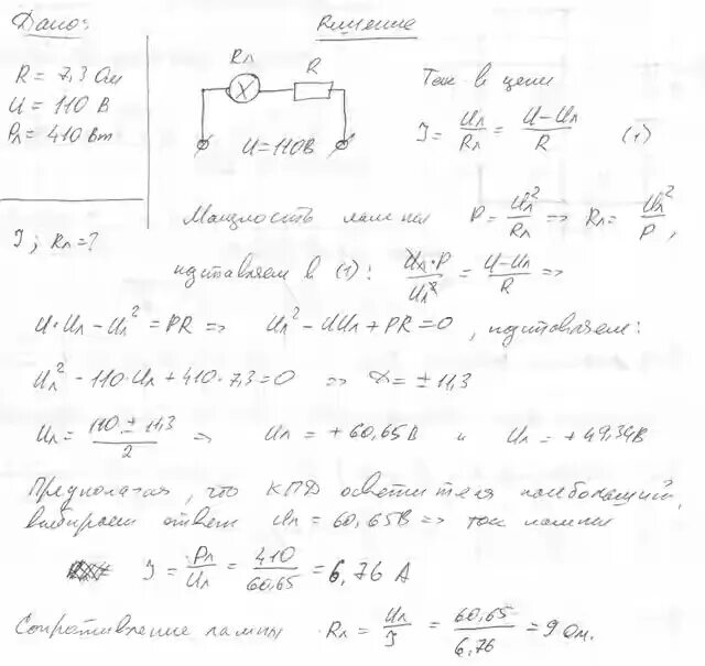
Определить напряжение тремя лампами