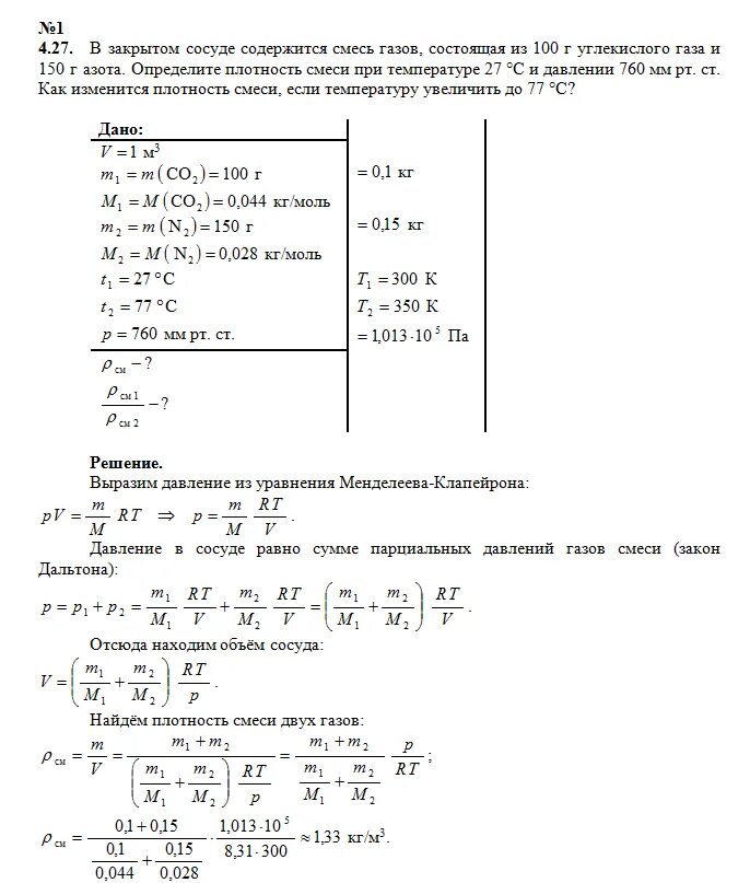
Определить давление сосуда емкостью