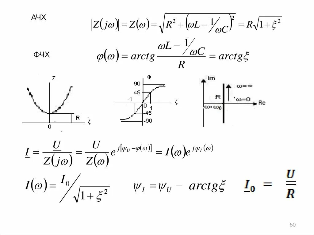
Определить ачх