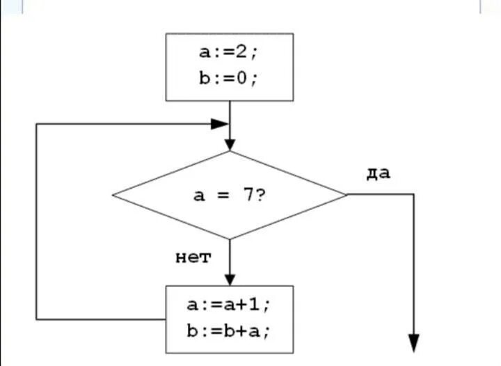
Определи значение переменной b выполнения фрагмента