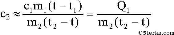
Определи удельную теплоемкость металлического цилиндра