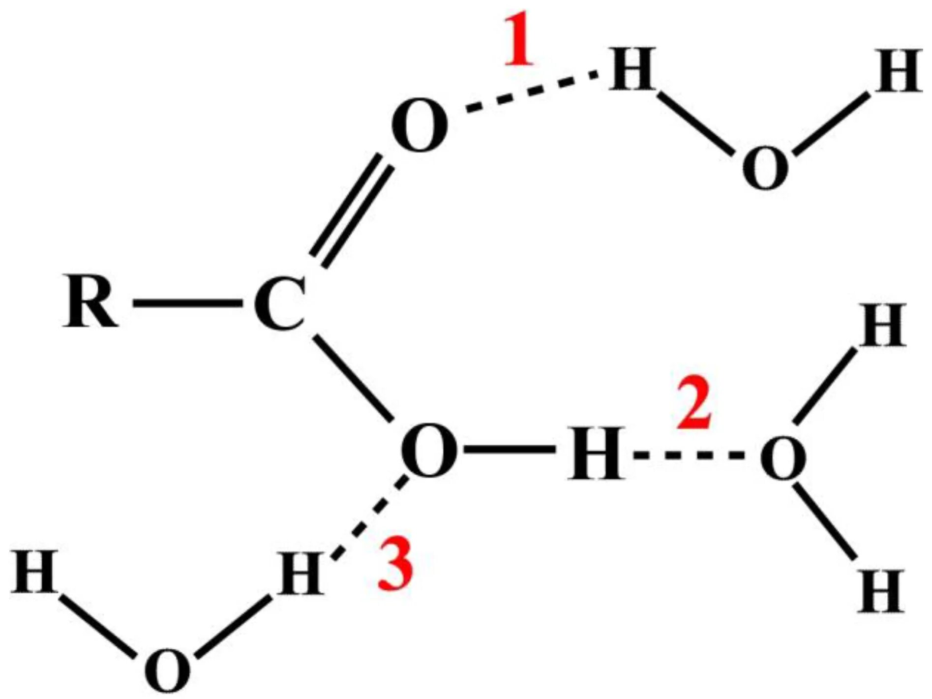
Определи количество водородных связей