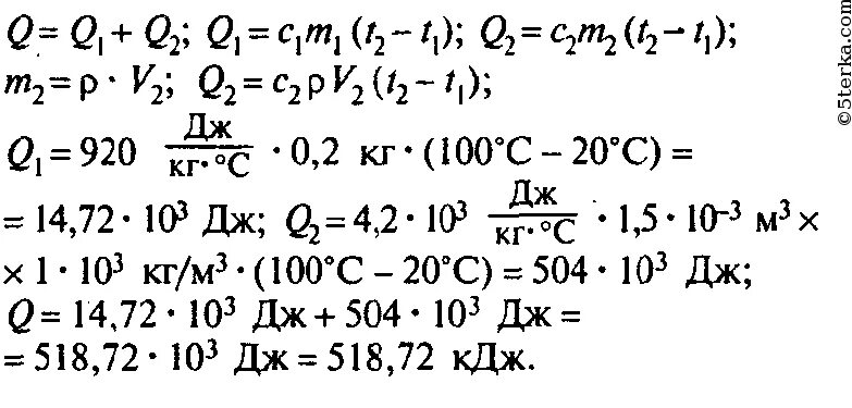
Определи какое количество теплоты получили алюминиевая