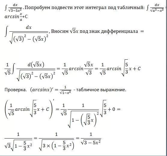
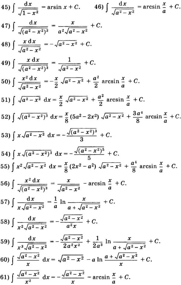
Определенный интеграл корня