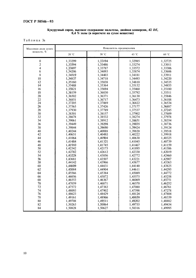
Определение содержания сухого вещества