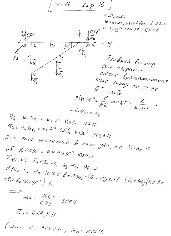
Определение реакций идеальных связей