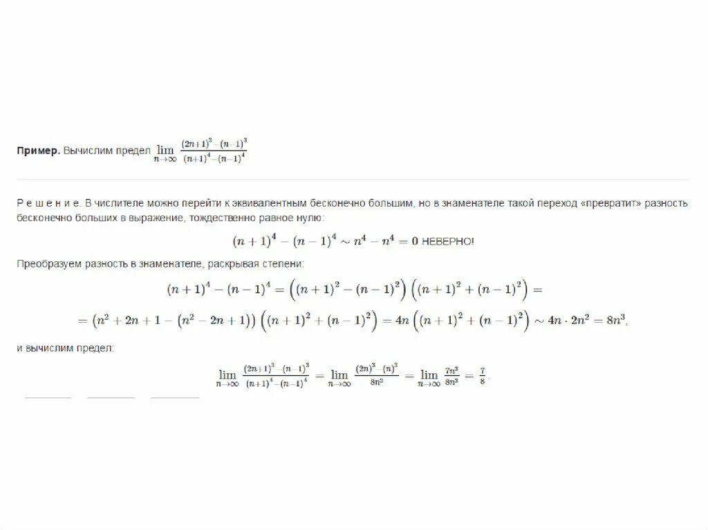
Определение предела lim