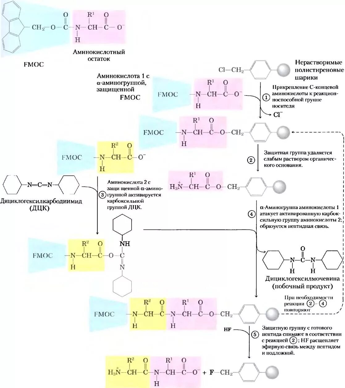
Определение аминокислотного состава белка