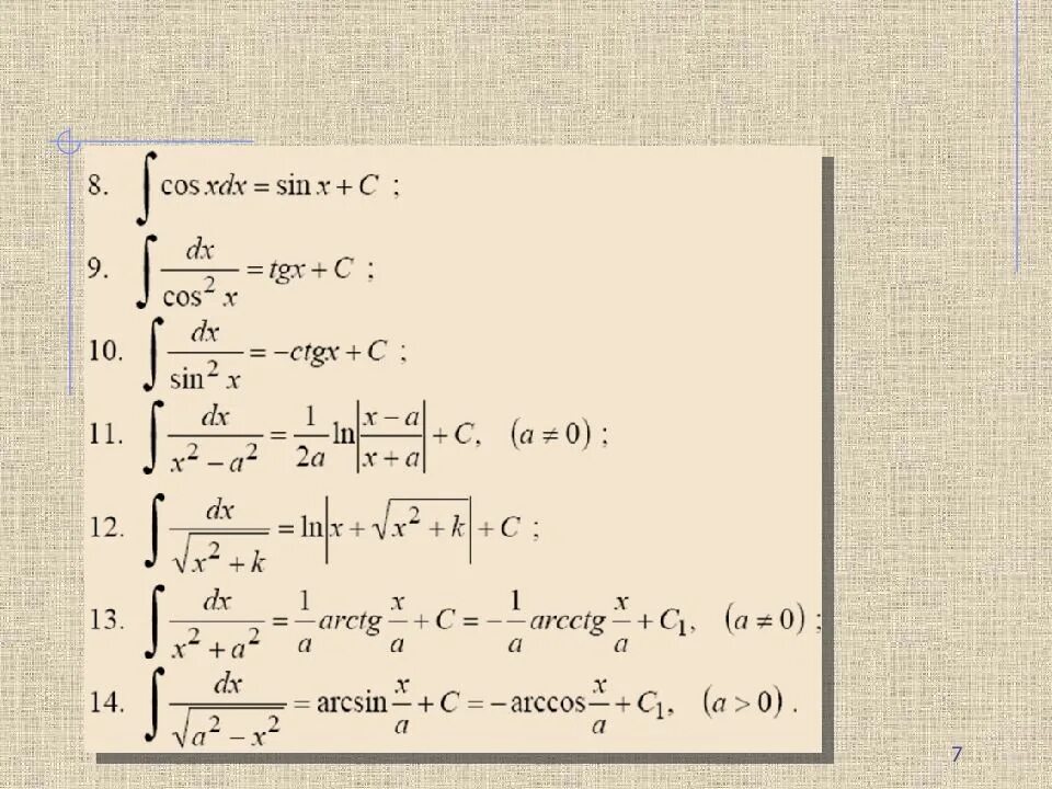
Операция нахождения неопределенного интеграла