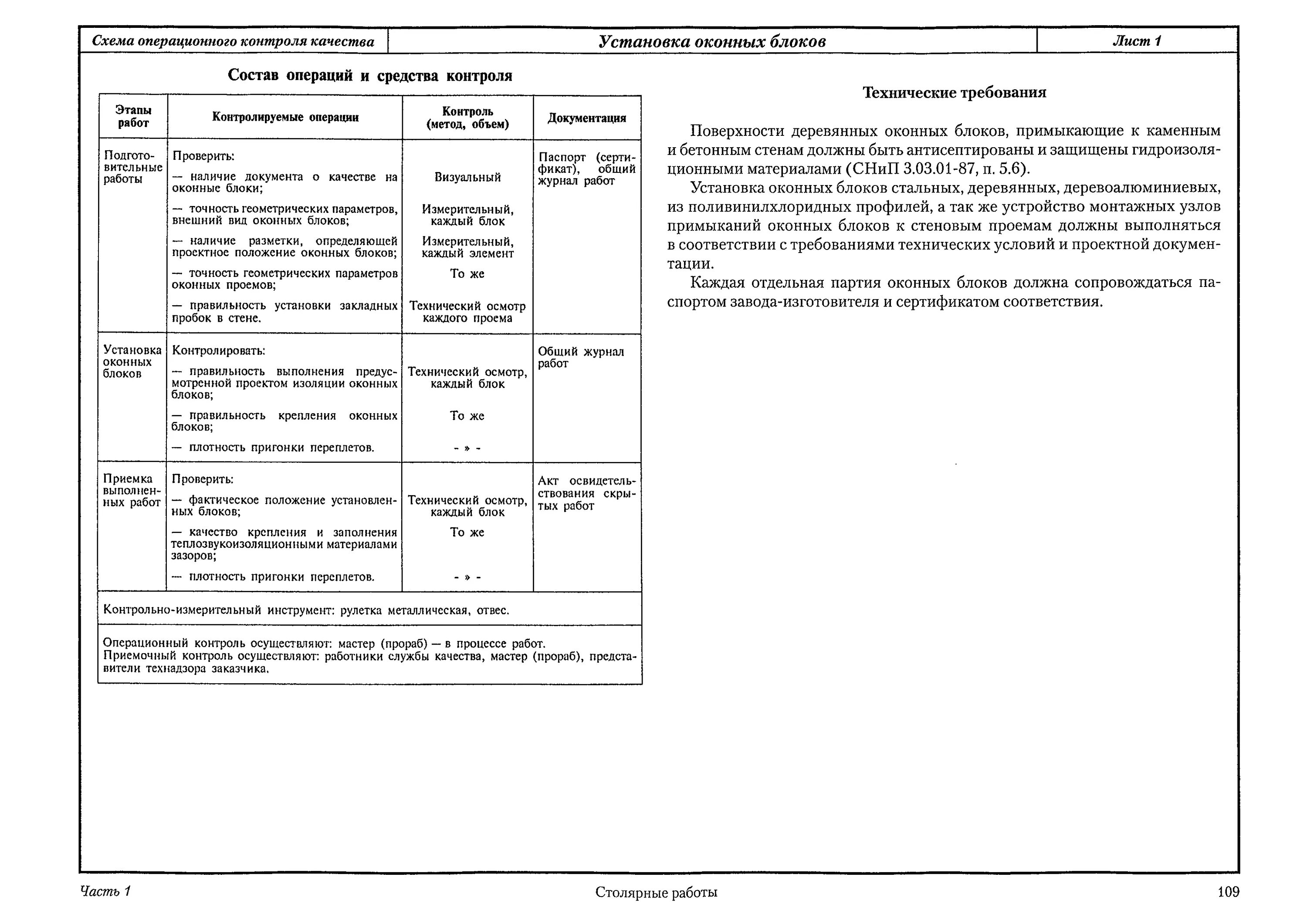
Операционный контроль пример