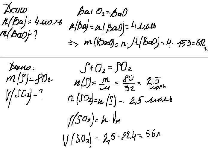
Оксид бария образуется при взаимодействии