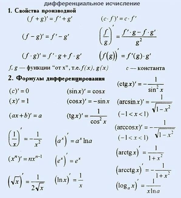
Огэ какие формулы дают