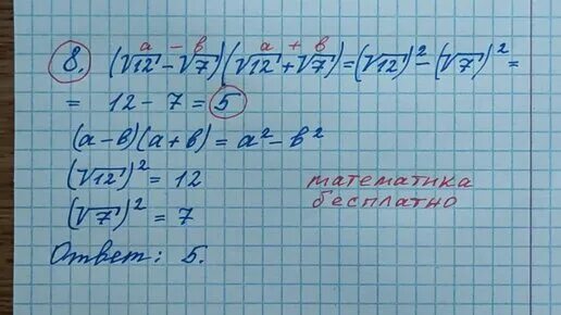
Огэ 2025 математика лысенко решение