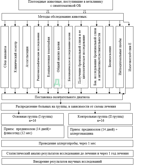
Общее обследование животного