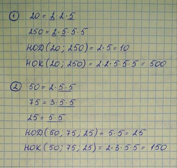
Общее кратное числа 20