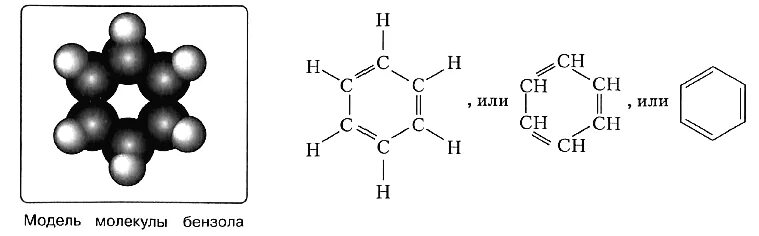
Общее число атомов в молекуле бензола