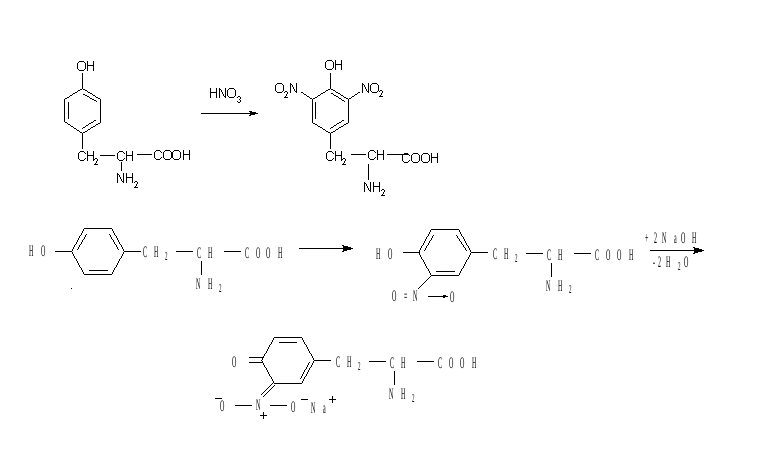
Обнаружение белков с помощью качественных реакций