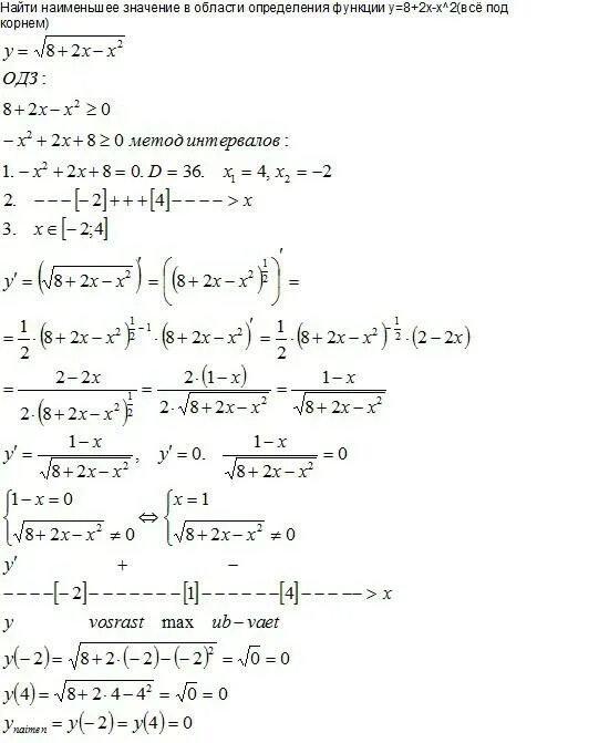
Область значения функции x2 6x