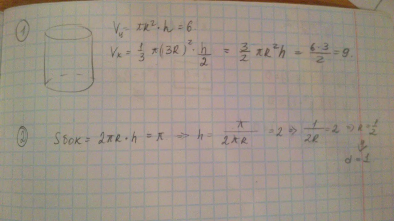
Объем цилиндра равен пи найдите