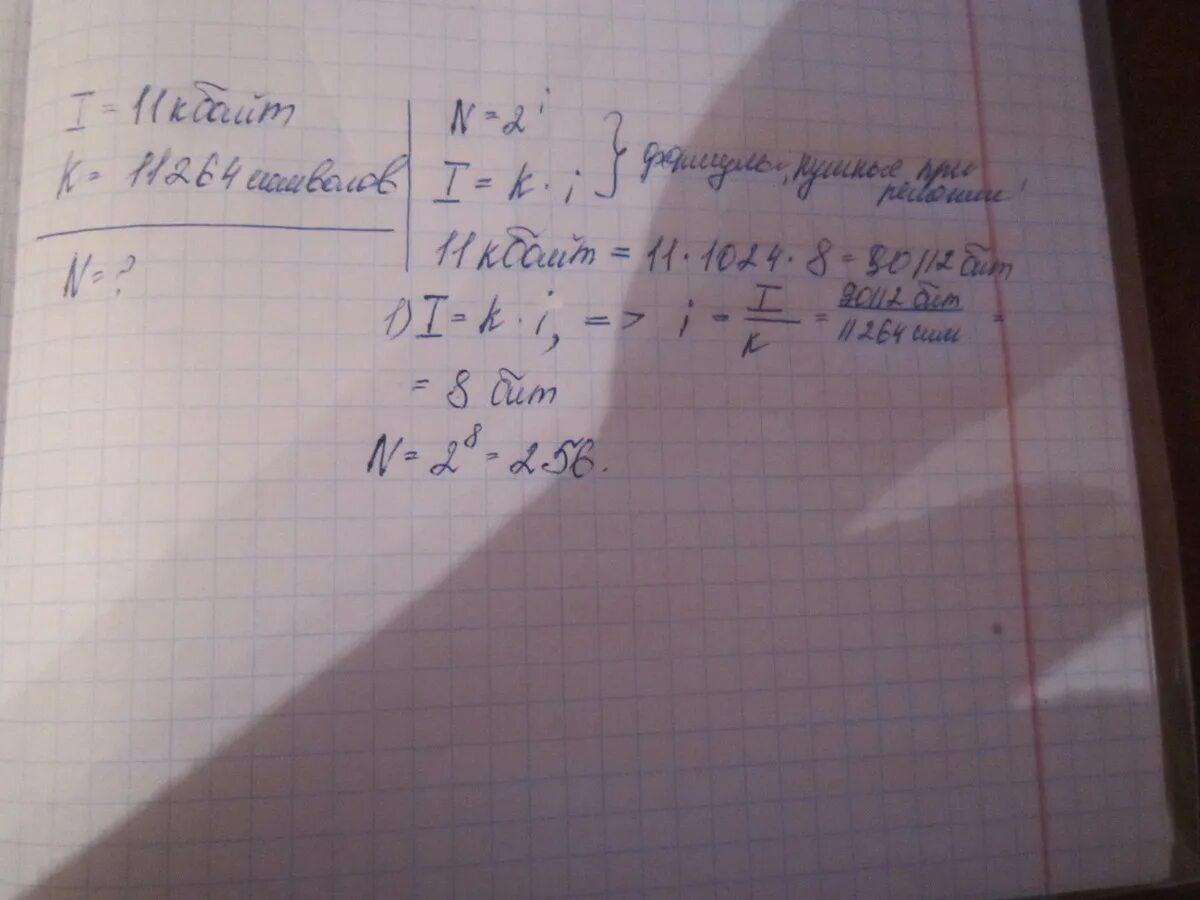
Объем сообщения равен 11 кбайт сообщение содержит