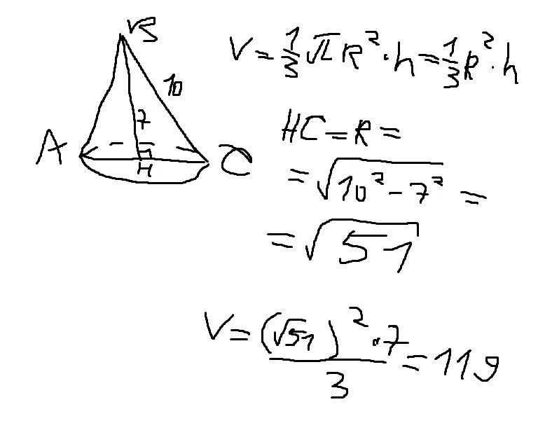
Объем конуса 256 через точку