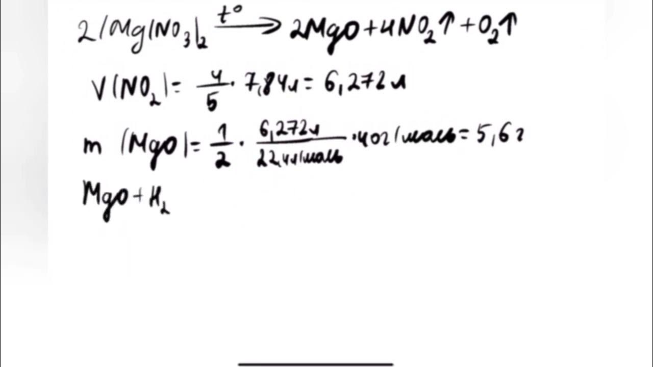
Нитрат магния реакции