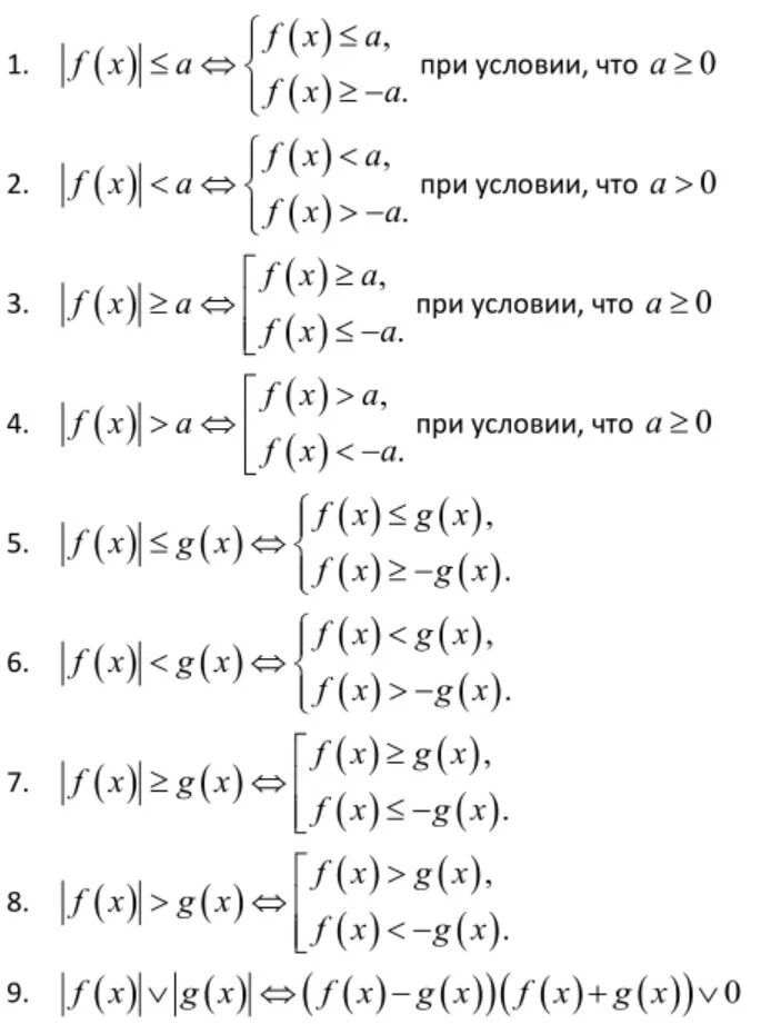
Неравенства модуль меньше модуля