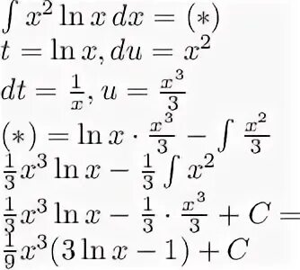
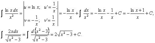
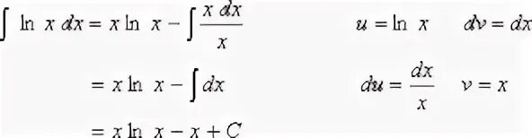
Неопределенный интеграл ln x