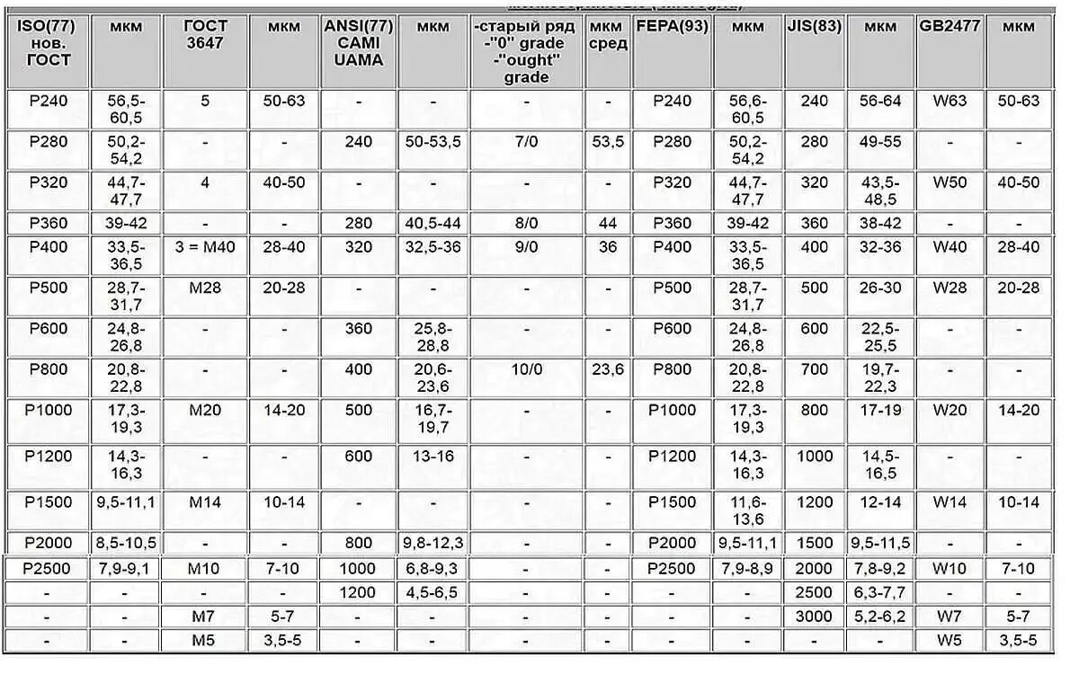
Наждачная маркировка