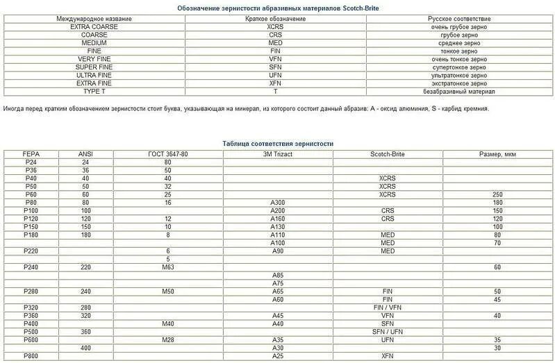
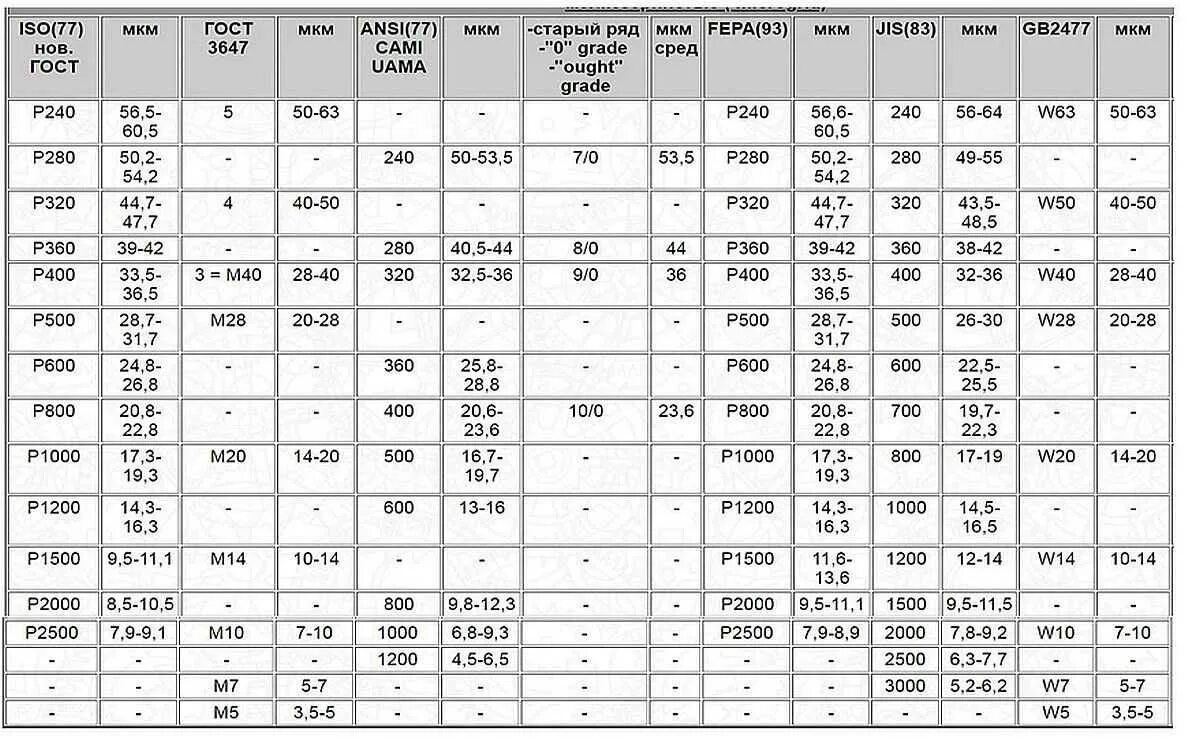
Наждачная бумага маркировка таблица