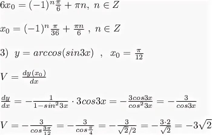
Найти значения функции y sin2x