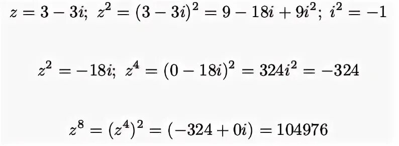
Найти z если z 3 i