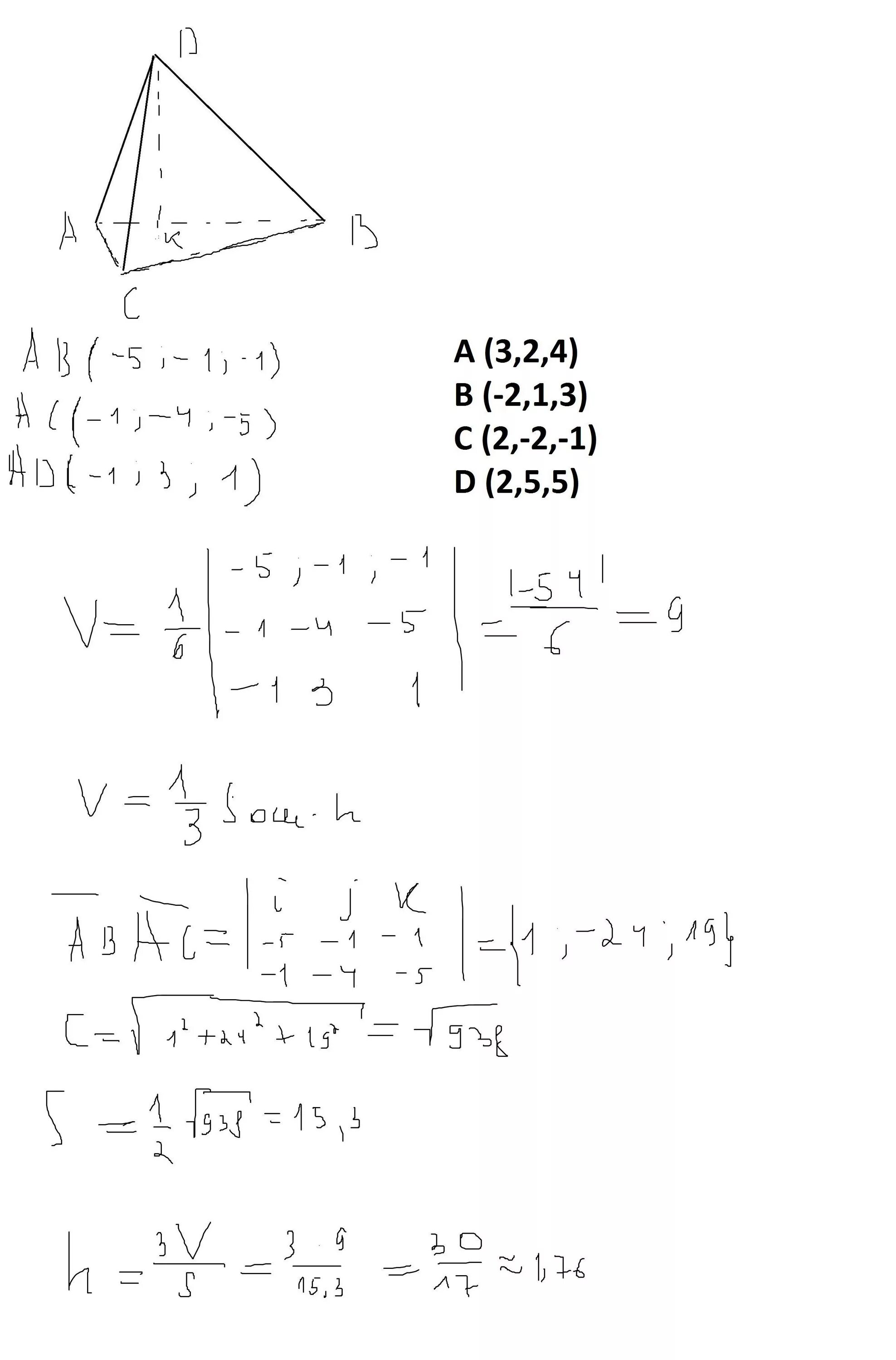
Найти высоту пирамиды опущенную из вершины с