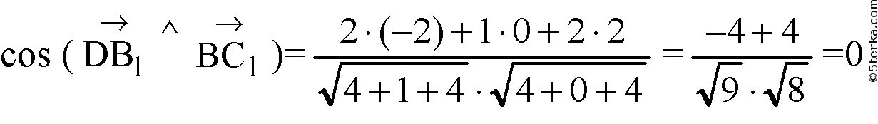
Найти угол между векторами ab и bc