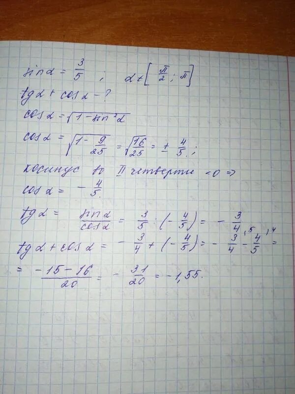
Найти tga если tga 3 4