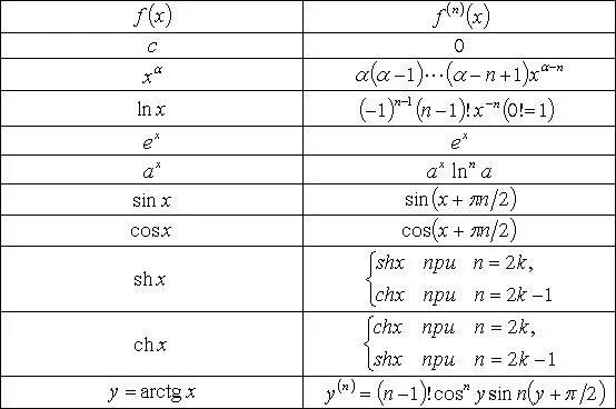
Найти производную функции y x n