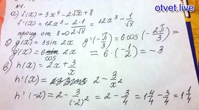
Найти производную функции f x 3x 8