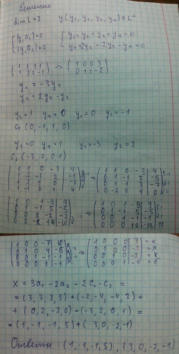
Найти проекцию вектора на подпространство