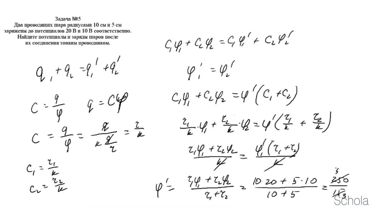
Найти потенциал проводящего шара радиусом 1