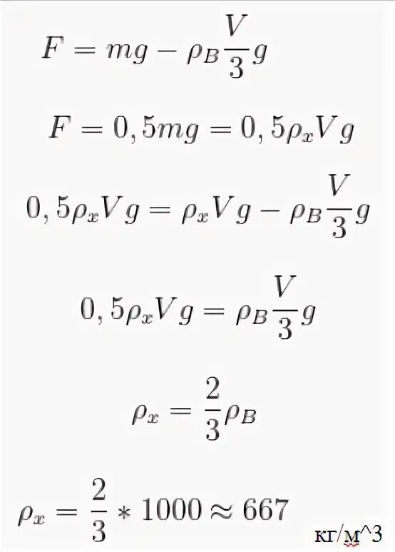
Найти плотность шара