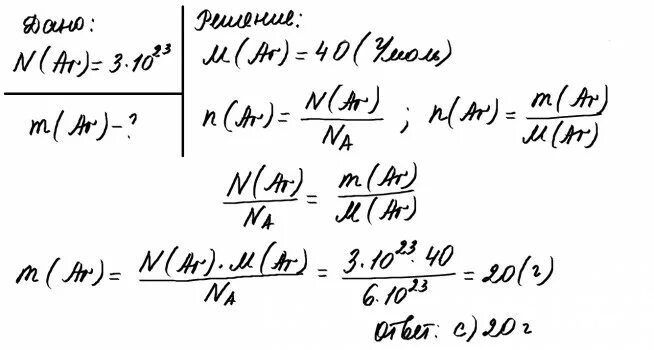
Найти плотность массу 1 л