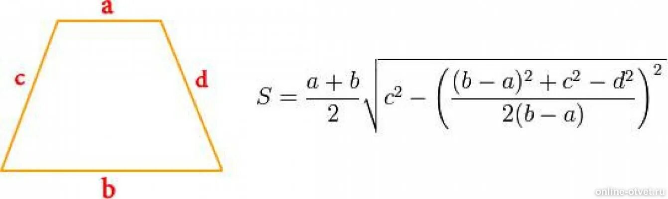
Найти площадь трапеции 3 9 30